СТАРТОВИЙ СТИМУЛЯТОР РОСТУ РОСЛИН ЧОРНИЙ ЯКІВ
Ефективний старт — це фундамент майбутнього врожаю. Саме цим принципом керуються технології POP-UP та IN-FURROW — способи локального живлення, які застосовуються під час посіву для покращення старту рослини, розвитку кореневої системи та підвищення врожайності. Історія стартових добрив підтверджує: оптимальне живлення в перші фази зростання є ключовим чинником формування сильної кореневої системи, швидкого розвитку рослин та стійкості до стресів у подальші періоди вегетації.
ПРОТЕ КЛАСИЧНІ ГРАНУЛЬОВАНІ АБО РКД-ДОБРИВА, ЯКІ ТРАДИЦІЙНО ВИКОРИСТОВУЮТЬСЯ ДЛЯ СТАРТОВОГО ЖИВЛЕННЯ, МАЮТЬ НИЗКУ СУТТЄВИХ ПРОБЛЕМ ТА ОБМЕЖЕНЬ.
Якщо ми говоримо про гранульовані стартові добрива, повільна розчинність гранул у прохолодному ґрунті не забезпечує оперативним доступом поживних речовин у перші критичні дні після посіву.
РКД-добрива, які є концентрованими розчинами солей азоту й калію, особливо представлені нітратами або хлоридами, можуть викликати фітотоксичність — підпал проростків через осмотичний стрес, що значно знижує енергію проростання насіння.
ЗАДЛЯ ВИРІШЕННЯ ЗАЗНАЧЕНИХ ПРОБЛЕМ, А ТАКОЖ ДЛЯ ДОДАТКОВОГО СТИМУЛЮВАННЯ РОЗВИТКУ РОСЛИН КОМПАНІЯ DOLINA ПРЕДСТАВЛЯЄ ЧОРНИЙ ЯКІВ® – СТАРТОВИЙ СТИМУЛЯТОР РОСТУ РОСЛИН ДЛЯ КОМПЛЕКСНОГО ВНЕСЕННЯ З ГРАНУЛЬОВАНИМИ ТА РКД-ДОБРИВАМИ ЗА ТЕХНОЛОГІЯМИ POP-UP ТА IN-FURROW.
Властивості речовин, які входять до складу препарату ЧОРНИЙ ЯКІВ®, забезпечують максимальний ступінь проникнення у клітини рослин та їх головні органели: ядро, мітохондрії, хлоропласти. Дослідження показали, що на цей показник впливає величина молекулярної маси. Гумінові речовини препарату ЧОРНИЙ ЯКІВ® мають оптимальну молекулярну масу 8400±600 та здатні ефективно насичувати рослинні клітини, розкриваючи повною мірою свій потенціал тоді, коли саме це потрібно.
ТАБЛ. 1 РІВЕНЬ НАСИЧЕННЯ ГУМІНОВИМИ КИСЛОТАМИ З ОГАНІЧНИМИ ЛІГАНДАМИ ОРГАНЕЛ РОСЛИННИХ КЛІТИН ЗАЛЕЖНО ВІД МОЛЕКУЛЯРНОЇ МАСИ.
| Молекулярна маса гумінових кислот з органічними лігандами | На 500 мг фракції | На 100 мг фракції | |
| ядро | мітохондрії | хлоропласти | |
| 500±100 | 30,4±3,4 | 63,4±6,3 | 201,8±20,4 |
| 8400±600 | 61,0±6,1 | 97,4±9,7 | 274,0±27,4 |
| 12000±2500 | 36,5±3,7 | 97,4±9,7 | 160,0±16,0 |
Комплекс гумінових кислот з органічними лігандами, що входить до складу препарату ЧОРНИЙ ЯКІВ®, відіграє важливу буферну та протекторну роль у ґрунті й рослинному середовищі, зменшуючи негативний вплив високого сольового індексу добрив. Гумати діють як іонообмінні речовини, що здатні тимчасово зв’язувати катіони (Na+ , K+ , NH4+, Ca2+). Це знижує осмотичну концентрацію солей у безпосередній зоні коренів (ризосфері), завдяки чому зменшується осмотичний тиск, який заважає рослині поглинати воду.
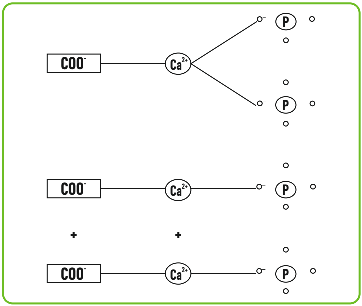
Технологія захисту фосфору базується на властивостях гумінових речовин, що діють шляхом блокування негативної взаємодії фосфору з позитивно зарядженими антагоністичними іонами (Ca2+, Fe3+ або Al 3+), які можуть зв’язувати й обмежувати доступність фосфору для рослин, особливо в умовах неоптимального рН ґрунту. ЧОРНИЙ ЯКІВ® стабілізує фосфор у зоні кореневої системи, захищаючи його від фіксації і забезпечуючи доступність у критичні фази зростання.
Комплекс гумінових кислот з органічними лігандами:
- на карбонатних і важких ґрунтах ортофосфат-іони (H2PO4– /HPO42 –) дуже швидко зв’язуються з катіонами кальцію, заліза та алюмінію, утворюючи нерозчинні сполуки (Ca3 (PO4)2, FePO4 тощо);
- гумінові кислоти, які входять да складу препарату, завдяки наявності численних карбоксильних і фенольних груп перехоплює ці катіони й утримує їх у гумат-кальційфосфатних комплексах (COO– — Ca2+—O(PO3)).
ГУМАТ-КАЛЬЦІЙ-ФОСФАТНА МАТРИЦЯ
Як наслідок фосфор довше зберігається у ґрунтовому розчині та залишається доступним для кореневої системи. Рослина легко засвоює ортофосфати з гумат-кальційфосфатних комплексів (COO– — Ca2+ — O(PO3 )), переводячи фосфор в максимально доступну форму, що забезпечуює найвищий ступінь проникнення у клітини рослин завдяки оптимально підібраній молекулярній масі.
СТИМУЛЮВАЛЬНА ДІЯ СТАРТОВОГО СТИМУЛЯТОРА РОСТУ РОСЛИН ЧОРНИЙ ЯКІВ®:
Покращення проростання насіння. Гумінові комплекси активують ферменти гідролізу (амілази, протеази), що розщеплюють запасні речовини в насінні. Підвищують активність дихальних ферментів, посилюючи енергетичний обмін. Зменшують затримку проростання в умовах низької температури.
Стимуляція утворення первинного кореня, якщо препарат вноситься безпосередньо на насінину. Гумінові речовини діють як ауксиноподібні стимулятори, активуючи формування колеоптиля та кореневого чохлика. Зростає довжина первинного кореня, кількість кореневих волосків.
Регуляція водного обміну на етапі проростання. Під впливом діючих речовин насіння швидше вбирає воду, що пришвидшує набухання й активацію клітин. Зменшується втрата води в умовах нестачі вологи (ефект осмотичної стабілізації).
Антистресовий ефект на ранніх етапах. Знижується вплив абіотичних факторів: солонцюватість, холод, гербіцидний фон. Підвищується вміст антиоксидантів у проростках.
Формування стартового фотосинтетичного апарату. Гумінові речовини стимулюють синтез хлорофілу вже в перших листках. Підвищується інтенсивність фотосинтезу на фазі 1-2 листків, що закладає вищий потенціал росту. Ці ефекти реалізуються під час стартового внесення стимулятора росту рослин Чорний Яків® у зону проростання (наприклад, у системах POP-UP/INFURROW).
ВІДМІННІСТЬ СТАРТОВОГО СТИМУЛЯТОРА РОСТУ РОСЛИН ЧОРНИЙ ЯКІВ® ВІД ІНШИХ ПРОДУКТІВ НА БАЗІ ГУМІНОВИХ РЕЧОВИН:
Як відомо, основні властивості гумінових речовин, такі як ефективна активність, розчинність i стабільність, залежать від рН середовища, що пов’язано з їх структурно-груповим складом. Гумінові речовини стабільно розчиняються в нейтральному середовищі, але зі зниженням або підвищенням рН ця властивість змінюється залежно від хімічного складу та походження речовин. Це може призвести до втрати ефективності препарату у ґрунті з рН до 5,5 та понад 7,0. Основним завданням у розв’язанні цього питання було створення комплексу гумінових кислот з органічними лігандами i вивчення їх поведінки з метою досягнення стабільності у середовищах з різним рівнем рН.
У лужному середовищі фенольні та карбоксильнi групи депротонуються, що спричиняє відштовхування негативно заряджених груп, i, як наслідок, молекули гумiнових речовин мають розтягнуту конфігурацію. Якщо рН знижується, функціональні групи протонуються й ефекти відштовхування зведені до мінімуму, зрештою молекули набувають спіральної конформації. На цій стадії гідрофобні ділянки перебувають у внутрішній частині структури, а гідрофільні частини – у контакті з водним середовищем. Така поведінка відповідає за мiцелоподiбну організацію та зменшення поверхневого натягу гумінових речовин.
Підвищення концентрації іонів водню викликає протонування карбоксильних груп гумінових речовин, що зрештою призводить до випадіння в осад макромолекул. Цей процес починається від рН = 5,5, i його слід розглядати як безперервний, який сприяє агрегації гумінових речовин на молекулярному рівні, i, як наслідок, утворенню гідрофобної поверхні. Тому можемо зробити висновок, що кисле середовище деактивує молекули гумінових кислот.
Розв’язання завдання зі створення гумінових комплексів, які будуть зберігати водорозчинні властивості та активність у кислих та лужних середовищах, було знайдене фахівцями компанії “DOLINA” після тривалих досліджень та модифікації гуматів, які використовуються у стартовому стимуляторі росту рослин ЧОРНИЙ ЯКІВ® як основна діюча речовина.
Поведінка молекул гумінових речовин у лужному середовищі та процес агрегації внаслідок зниження рН середовища:
а – відштовхування депротонованих груп, якщо pH>7;
б – внутрішньомолекулярна агрегація у разі зниження рН середовища;
в – міжмолекулярна агрегація у разі зниження рН;
г – осадження гумінових речовин, якщо рН=5,5.
ГУМАТИ СПРАВДІ ВІДІГРАЮТЬ ВАЖЛИВУ РОЛЬ У ФОРМУВАННІ Й СТАБІЛІЗАЦІЇ ҐРУНТОВОЇ СТРУКТУРИ. ЇХНІЙ ВПЛИВ НА АГРЕГАЦІЮ ҐРУНТУ ПОЯСНЮЄТЬСЯ КІЛЬКОМА МЕХАНІЗМАМИ:
- поліелектролітна природа гуматів. Вони здатні зв’язуватися з катіонами кальцію, магнію, заліза. Це сприяє формуванню стабільних агрегатів, що менше руйнуються у разі зволоження;
- “клейка” органічна матриця. Гумати виступають як біополімерний клей, який обгортає дрібні мінеральні частинки. Такі агрегати краще утримують воду й повітря;
- захист від розсіювання та ерозії. Гумати підвищують водостійкість агрегатів. У дощову погоду або у разі поливу ґрунт менше запливає, не утворює кірки, легше пропускає воду. Це знижує ризик ерозії та ущільнення.
ОТЖЕ, ЧОРНИЙ ЯКІВ® – НЕ ПРОСТО «ДОБАВКА», ВІН ПРАЦЮЄ ЯК БАГАТОФУНКЦІОНАЛЬНИЙ ІНСТРУМЕНТ, ЩО ВИКОНУЄ ФУНКЦІЇ СТИМУЛЯТОРА РОСТУ ТА ПІДВИЩУЮЄ ЕФЕКТИВНІСТЬ ФОСФОРНОГО ЖИВЛЕННЯ.
СТАРТОВЕ ВНЕСЕННЯ
| Культура | Строки внесення | Норма внесення, л/га |
|---|---|---|
| Зернові, соняшник, кукурудза, ріпак, цукрові та кормові буряки, зернобобові | Стартове внесення сумісно з рідкими комплексними добривами під час посіву | 0,3 – 0,6 |
ЧОРНИЙ ЯКІВ ДОДАЄТЬСЯ У БАКОВУ СУМІШ В ОСТАННЮ ЧЕРГУ.
pH РКД ECONOM під час додавання Чорного Якова – 6-7.
